A lower limit to the accretion disc radius in the low-luminosity AGN NGC 1052 derived from high-angular resolution data

by Lennart Reb and Klaus Dolag

 

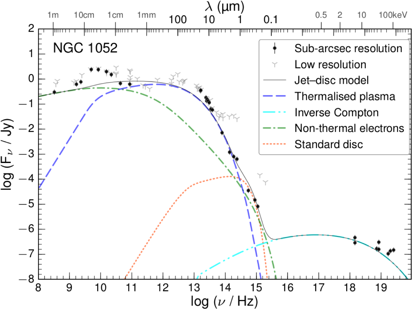
In a collaboration with the PARSEC group at the Instituto de Astrofísica de Canarias, we investigate the central sub-arcsec region of the low-luminosity active galactic nucleus (LLAGN) NGC 1052, covering 10 orders of magnitude in frequency. This prototypical, nearby LLAGN is an ideal case to shed some light on the internal changes that are predicted in LLAGNs, the most abundant group of AGNs in the Local Universe.

‍ 

The high-angular resolution data allow us to infer the continuum emission within ~17 pc around the black hole to be not dominated by thermal emission from dust in a torus (grey line, lower plot) as measured in Seyfert 2 AGNs. Instead, the compact jet–disc model representation (black thin line, upper plot) captures the prominent features of the continuum emission.

‍ 

The individual model components are synchrotron emission (blue dashed line) and synchrotron self Comptonisation (cyan double-dot-dashed line) of the thermalised plasma, synchrotron emission of the accelerated plasma (green dash-dotted line), and the (maximum contribution of a) standard accretion disc (orange dotted line). This jet representation suggests that non-thermal processes dominate the nuclear continuum emission and thus the continuum luminosity.

 

We further investigate the power balance in the LLAGN NGC 1052, finding that the accretion power of this standard disc, i.e. the power equivalent of the accretion rate, is too low by one order of magnitude to account for the observed continuum luminosity (light blue line, lower plot). However, an optically thick and geometrically thin accretion disc is an integral component of the Unified Model for AGNs, required to feed the subsequent processes.

Any hotter standard accretion disc, i.e. with a higher accretion power, violates the spectral limits of optical/UV measurements (approximated by a power law, dark-green dotted line). We thus introduce a truncated accretion disc and derive a truncation radius to mass-light conversion efficiency relation, which we use to reconcile the inferred accretion power with the continuum luminosity. As a result we find that a truncated disc (red line) providing the necessary accretion power must be truncated at , which is consistent with the inner radius derived from the observations of the Fe K$\alpha$ line in the X-ray spectrum of this nucleus. This is the first time to derive a limit on the truncation radius of the accretion disc from high-angular resolution data only, i.e. evidence for a truncated accretion disc. Therefore it contributes to an ongoing discussion about the physical changes in LLAGNs, advancing our understanding of the participating processes in these objects.

 

 

 

> Download Paper <

This website makes use of cookies. Please see our privacy policy for details.

Deny

OK