Going EnvironMental

· · · · ·

The shapes of cosmic voids

Void ellipticities as a function of cosmology

Cosmic voids can provide invaluable information in numerous different ways. Their sizes, profiles, and shapes are intrinsically tied to the structures at the Megaparsec to Gigaparsec scales that formed from the largest density perturbation modes. In the standard model of an isolated density depression, voids, regardless of their initial geometry, evolve to be increasingly spherical with time. In realistic environments however their shapes are influenced by the matter configuration and specifically the tidal field in their surroundings. As the tidal field is directly linked to potential perturbations, these shapes can be used to trace the initial cosmological parameters, as was argued before by Park and Lee in 2007. We investigated the connection of the void shape distribution on cosmology (within LCDM) with a multi-cosmology run from the Magneticum simulations. It is apparent that the void shape distributions evolve quite differently for different initial conditions. We furthermore found indications that the level of clustering at the scale of 8 Mpc (a prototypical void size in this simulation box) exerts the biggest influence on the shape distributions. Further investigation will follow up on this.

· · · · ·

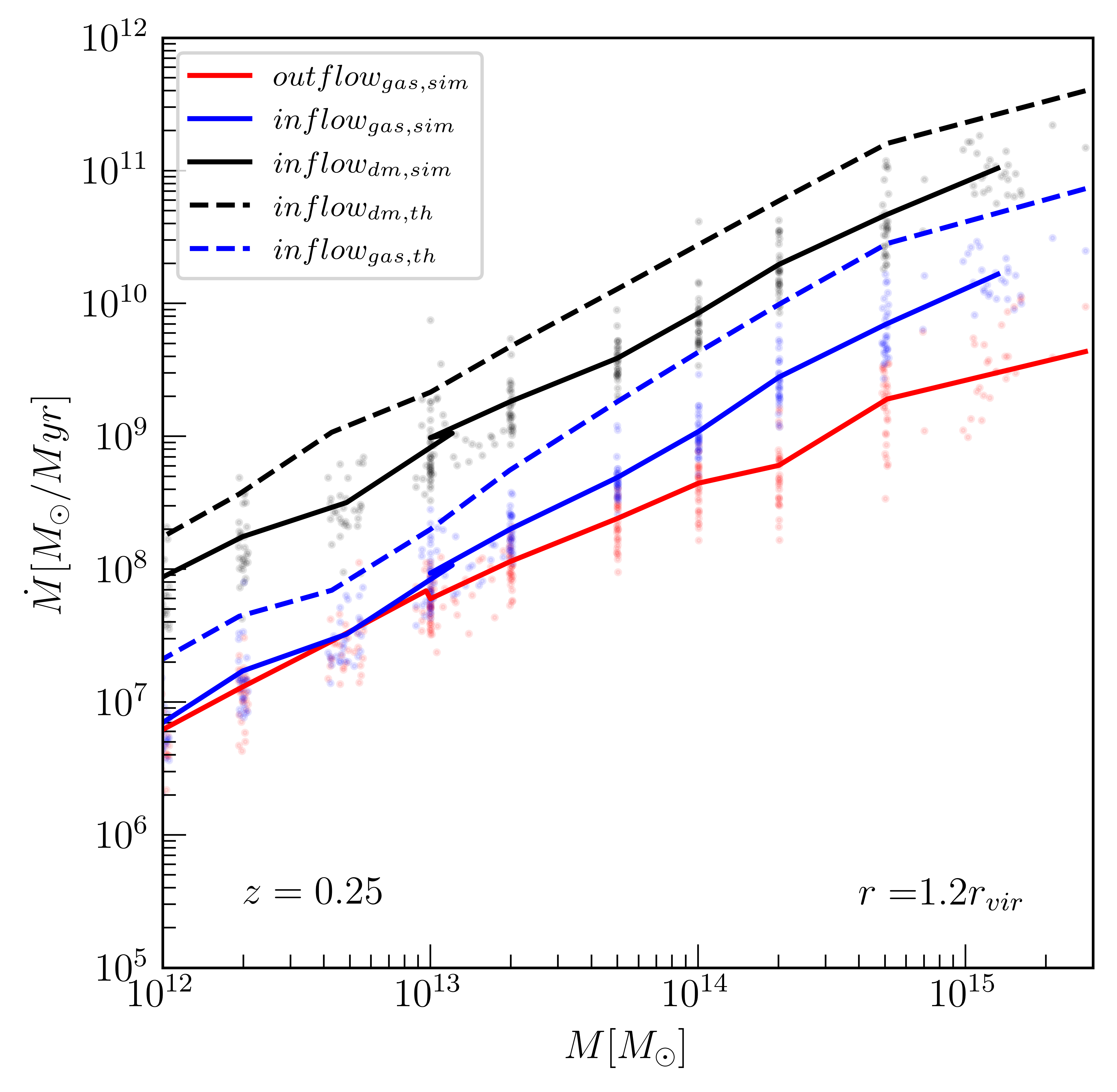
The self similarities of halo accretion flows

Comparison with the self similar van den Bosch model

The hierarchical picture of structure formation predicts a self-similarity of structures on all scales, as they evolve bottom-up with smaller structures forming first and then combining to form larger mass accumulations. However, self-similarity is widely believed to break down at smaller mass scales, due to their subjugation to highly non-linear evolution at late times. To probe how well self-similarity holds up at the boundaries of collapsed objects, we studied the accretion flows in the vicinity of such structures. A wide mass range is needed in order to trace the scaling relation sufficiently. To this end we combined the data from a larger, lower-resolution box and a smaller, higher-resolution volume from the Magneticum suite of simulations. A linear accretion rate is adapted from van den Bosch 2002. The only model inputs are then the structure mass and the initial cosmological parameters. Though significantly lowered in comparison to the model, the simulated accretion rates are found to be surprisingly self-similar and consistent across resolutions. A robust scaling relation between net mass flow might provide a way to account for environmental influences on the structures more self-consistently.

· · · · ·

Morphology–Density Relation

Over the past years the connection between galaxies and their host halos has been discussed in several studies. One tool that is used to estimate halo masses is to count satellite galaxies around massive host galaxies. We use the Magneticum Pathfinder Simulations to study the abundance of satellites around the host galaxies, focusing on the differences between disk and spheroidal galaxies. In agreement with recent observations, when using all galaxies in our simulations, we count more small galaxies within the vicinity of spheroids than disks with similar stellar masses. Interestingly, when restricting the host galaxy sample to central galaxies, i.e., galaxies which are at the center of the underlying halo, this difference disappears. However, for companion galaxies, i.e., galaxies which are large satellites of other massive galaxies within a common dark-matter potential, the signal is even stronger.

lambda dark matter

Thus, although we reproduce the observations, our findings do not support the idea that spheroidal galaxies reside in significantly more massive dark-matter halos than disk galaxies at fixed stellar mass. We conclude that this split-up seen in the abundance of satellites, which is mainly caused by companion galaxies, is simply a reflection of the density–morphology relation. Furthermore, we find that the density–morphology relation starts to build up at around z = 2 and is independent of the star formation properties of the host galaxies. The shape of the relation of centrals and companions is similar to each other, except that the number density of quiescent centrals peaks in low-density environments, while that of the quiescent companions peaks in high-density environments. This implies that environmental quenching is more important for satellite than for central galaxies.

For further details, see Teklu et al., 2017

· · · · ·

Galaxies in Clusters

Phase space star forming galaxies

The effect of galactic orbits on a galaxy’s internal evolution within a galaxy cluster environment has been the focus of heated debate in recent years. To disentangle this relationship, we investigate the phase space, the velocity anisotropy, and the orbital evolution of cluster satellite galaxies. Through the use of the hydrodynamic cosmological simulation Magneticum Pathfinder, we evaluate the orbits of satellite galaxies in clusters with mass ranges up to Mhalo ∼ 1015 Msol. Thus, we are able to achieve a statistically relevant sample of galaxies inside clusters, which we further split into quiescent and star-forming galaxies. The figure to the left shows the radial phase space of star-forming satellite galaxies at different cluster masses and redshifts. This split allows us to connect the internal galactic evolution with the location in phase space, i.e. the specific cluster environment. We find that at redshifts z < 2.0 the vast majority of galaxies are quenched through ram-pressure stripping during their first passage.

Tracking radial distance of satellite galaxies

In addition to a statistical approach, we also track individual satellite galaxies and compare their internal evolution, i.e. star-formation, with their specific location within the cluster environment, i.e. the radial distance. This tracking of the radial distance is shown in the figure to the right. We combine the radial tracking of individual satellite galaxies with the galactic star-formation and find that the vast majority of star-forming galaxies are quenched within 1 Gyr . When studying the subset of satellite galaxies that remain star-forming the longest we find two things: Firstly, high stellar mass is effective in shielding against ram-pressure stripping. Secondly, shallow orbits allow low stellar mass satellite galaxies to remain star-forming longer than the total low stellar mass sample.

For further details, see Lotz et al., 2019